
Navštíveno 793x

Prosim poradil by mi nekdo s vypoctama prosim? koukam na to jako puk a nevim jak to vymyslet:(
Um[V]=282
T[s]=0.4

snad pomůže, ale nezávidím :-))
[ Link ]
cumim na ty vzorce a nevim jeslti nemam nainstalovanou blbou znakovou sadu pac mi nedava smysl:d
cumim na ty vzorce a nevim jeslti nemam nainstalovanou blbou znakovou sadu pac mi nedava smysl:d
U mě to vypadá takhle? :)


13.03.2010, 00:23 |
axetom | Upraveno: 2010-03-13 00:23:44
jo to souhlasi vidim porad ty divny znaky :D( bylo to mysleno ironicky jako ze tomu rozumim tem znakum jak koza drbani:D )
00:23 | axetom
LOOOOOOOOOL Tak tohle me rozsekalo:-DDDDDDDD
axetom: Divnej znak = integrál? Nic jinýho mne tam "divnýho" nepříde...
kozlustechnykus: taky vidim divny znaky, asi bych mel jit spat :D:DD
volove vy se smejete:D ale ja matiku tudiz integraly tenhle rok nedal mam to az na pristi prelozeno:D
Vubec jsem se nechtel smat tomu, ze neco neznas. To v zadnem pripade. Ja o tom vim taky kulovy. Ale ta veta me proste dostala:)
(to chapu taky to Volove vy se smejete bylo nekde v nejakym vtipu tak sem to jen dodal:D
přesně tyhle úlohy dávál někdo na TUL v Liberci. Jinak těžký to není, protože toho za chvíli budeš počítat mnohem víc :)

13.03.2010, 10:11 |
imax potrebujes cely postup, nebo jenom vysledek?
staci vysledek kdybys byl tak ochotnej:)

13.03.2010, 10:16 |
imax jinak Uo=105,75V a Uef=199,43V
sakra tak to pry neni ono kdyz sem to dosadil do zadani prace a odeslal tak to je pry spatne:(

13.03.2010, 10:22 |
imax no ja to nepocital na nejake ty desetiny presne

13.03.2010, 10:27 |
imax skus jeste Uo=105,75V Uef=149,5728V
Ted druhej sedi,, dekuju ten prvni zatim ne

13.03.2010, 10:34 |
imax Takze efetivni uz mame jo? :D

13.03.2010, 10:40 |
imax a to sem si prave myslel ze bude spravne ta stredni :D

13.03.2010, 10:42 |
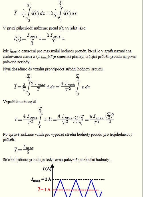
imax ta carkovana znaci samostany prubeh signalu a tudiz se jedna o dva signali v jednom grafu, nebo je to jenom jako pomucka?
ty jo k nam tomu vubec nic nerekli:( To nevim:((

13.03.2010, 10:48 |
imax no to je docela zasadni informace, ale na prvni pohled to vypada jenom jako pomucka, jdu do prace a pak se na to kouknu jeste :)

13.03.2010, 12:07 |
imax Uo=70,5V ?

13.03.2010, 13:14 |
imax Ta stredni by mnela byt tohle Uo=105,75V jinak nevim jak by to mnelo byt.

netusim:( Vubec:( Zkousel sem i polovinu tech 105,75 a nebere to nic:D

13.03.2010, 13:24 |
imax ale ted koukam ze ty useky netrvaji stejne dlouhou dobu, takze stredni hodnota Uo=141V trva 2/3periody a Uo=70,5V trva 1/3 periody, takze to bude asi potreba pocitat pres integral :(

13.03.2010, 13:30 |
imax no ale ted uz nevim jak se to pocitalo :D

[ Link ] [ Link ] Snad to pomůže, z toho jsem se učil já :) Je totam docela pěkně vysvětlený, tak snad to pochopíš.
Vypadá to, že jsi taky ze ZČU, teď nejsem na koleji ale mam dojem, že na to mam někde i program, i na ty ostatní tři a vůbec na všechno :D
tvrdaku ty programy by se kdyztak hodiliy:D:D jo jsem ze zcu:)